PUBLISHED: DECEMBER 2003

The Effects of Climate Change on the Vegetation of Central European Cities

by Herbert Sukopp

lnstitut für Ökologie der Technischen Universität Berlin, D-12165 Berlin, Germany

by Angelica Wurzel

Deutscher Rat für Landespflege, D-53179 Bonn, Germany

Published online February 26, 2003

Abstract

Since the 1850s the effects of global warming have been anticipated by the rise of temperature in many big cities. In addition, vegetation changes in central European cities have been well documented. This paper begins by exploring the changing urban distribution of some ruderal herbaceous species, then discusses changes in distribution and physiological changes in tree and shrub species in response to this rise in temperature. Examples of affected species covered here include Acer negundo, Ailanthus altissima, Amelanchier spicata, Berberis julianae, Buddleia davidii, Colutea arborescens, Cornus alba, C. stolonifera, Cotoneaster bullatus, Cytisus multiflorus, C. striatus, Juglans regia, Laburnum anagyroides, Ligustrum vulgare, Mahonia aquifolium, Paulownia tomentosa, Philadelphus coronarius, Platanus x hispanica, Populus x canadensis, Prunus armeniaca, P. laurocerasus, P. mahaleb, P. persica, P. serotina, Pyrus communis, Quercus cerris, Q. rubra, Q. robur, Ribes aureum, Robinia pseudacacia, Sambucus spp., Sorbus intermedia agg., Symphoricarpos albus and Syringa vulgaris. The responses of some woody scramblers and creepers are also examined. For many of these species, there was a long lag time between introduction and invasion in the wild. Phenological investigations are briefly reviewed, including studies of Aesculus hippocastanum and Tilia euchlora. Finally, the extent to which cities can act as simulators of global climate change is considered. We conclude that although other ecological and socioeconomic factors are affecting the vegetation in urban areas, many of the nonnative invasive species found colonizing cities (or naturalizing within them) originate in warmer areas and are benefiting from the more favorable climate.


Introduction: Urban Climate in Central Europe

Climatological and environmental research has led scientists to expect global warming and other climate changes to occur within the next few decades. The causes seem to be man-made. One question is what influence, if any, a warmer climate will have on flora and vegetation.

Since the 1850s the effects of global warming have been anticipated by the rise of temperature in many big cities. Cities have particular climatic characteristics (Landsberg, 1981; Kuttler, 1993):

  • More air pollution: There is from 5 to 15 times more gaseous pollution; the concentration of condensation nuclei (carbon particles and other particles) is about 10 times higher than in outlying areas. Air pollution is caused by traffic, heating of buildings, power stations, and industry. Trace gases, with the exception of low-level ozone, occur at concentrations 5 to 50 times higher than usual.
  • altered solar radiation: There are 5% to 15% fewer hours of sunshine, 22% to 25% less direct solar radiation, about 10% less surface albedo, and 12% more energy reflected back to the earth due to atmospheric pollution, leading to an increased net radiation of 11% at noon and 47% in the evening.
  • Wind speeds are reduced by 10% to 20% due to the roughness of the city surface. There are 5% to 20% more calm days.
  • The relative humidity is between 2% (winter) and 10% (summer) lower; on clear days this difference can reach 30%.
  • The annual mean precipitation is up to 20% higher; however, for a variety of reasons, water generally does not percolate down through the soil but rather runs off very quickly. In other words, the vegetation in cities must contend with higher aridity than that in surrounding terrain.

The most important ecological result of these effects is higher temperature. Cities are "heat islands" or "hot spots" on the surface of the earth. How much higher the temperature is depends on the size of the city; the difference can reach 12°C on clear days, or 1°C to 2°C in yearly mean temperature.

Climatic conditions within a city can vary considerably, depending on such factors as an area's location within the city; its type of construction and paving; its density of buildings and the emanation of heat from them; and especially, its distance from large tracts of vegetation. Different climate zones, usually more or less concentric, can be distinguished within a city. A city's internal heat islands usually coincide with its built-up areas, but changes in wind direction can temporarily heat other areas as well.

The warmer climate in cities is associated with the following:

  • a shorter nongrowing season (time between the first and last frosts) and less severe frosts
  • a reduction in the number of frost days (to nearly half the normal amount) and snow days.

This warmer climate has the following effects on the vegetation in cities:

  • a longer growing season (e.g., in Vienna, by about 10 to 20 days yearly)
  • a shift in phenological phases.

Vegetation Changes in Central European Cities

Vegetation changes in central Europe have well been documented (e.g., Haeupler & Schönfelder, 1989). The interrelationships between species ranges and climate have also been investigated (Jäger, 1968). The flora and vegetation of cities have been described and mapped for a long time (Sukopp & Wittig, 1993). From this information it is possible to draw conclusions about environmental changes, including climate changes, by comparing historical data with present conditions (Sukopp, 1973).

Lists of urban plants have been published by the working group Methodik der Biotopkartierung im besiedelten Bereich (1993) and by Frank and Klotz (1990). Some examples of spontaneously growing nonnative urban plants are presented in Table 1. The cosmopolitan character of many urban plants is a tribute to the ubiquity of humanity's modification of environmental conditions and to our efficiency as agents of dispersal (Salisbury, 1961).

Many of the ruderal species in cities are short-lived plants that react quickly to climate changes. The percentage of heat-resistant plants among ruderals is high, as indicated by their origin in warmer regions. Only in favorable conditions such as those in cities are they able to build up stable populations in central Europe. The prevailing influence of climate on ruderal plants and their ability to react quickly to climatic changes make them suitable indicators. Climate changes will thus be seen in the distribution of ruderals in cities as well as in changes of their northern boundaries and their altitude tolerances in mountainous areas (Hügin, 1992, 1995).

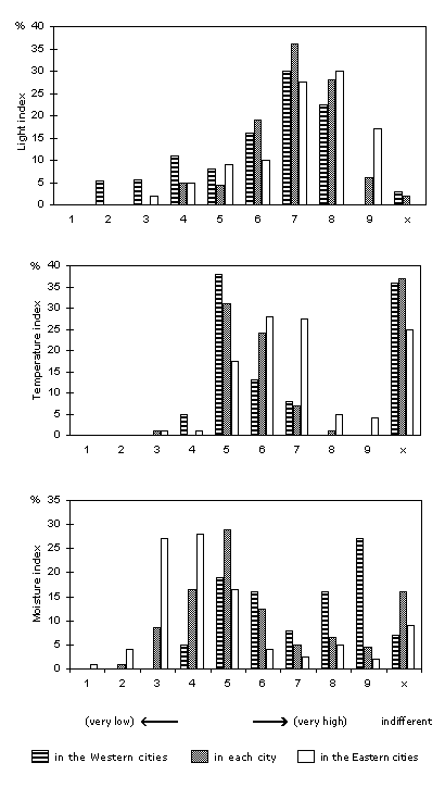
A summary of the ecological demands of the urban spontaneous flora can be attained by using indicator indices such as those of Ellenberg (1979, 1991). Kunick (1982b) used these to compare many cities with each other; the results for certain indices are shown in Figure 1. For details in Zürich, compare Landolt (2001).

Establishment of Plants Sensitive to Frost and Cold

Distribution and dispersal of nonnative plants in central Europe has changed during the past two centuries, resulting in a higher percentage of plants sensitive to frost and cold today.

Chenopodium botrys, of south-Eurasian-Mediterranean origin, has spread over large areas of central and western Europe as a consequence of increased transportation and trade and changes in land use (Figure 2). It was introduced in Berlin in 1889 (Sukopp, 1971). The original habitats of this species are sandy and stony places along riversides and in rocky debris, very specialized habitats in which there is little competition. The plant's secondary habitats in its naturalized range in central Europe are roadsides, fields, and rubble sites. Under natural conditions there are few such sites in central Europe; only under the influence of humans has the establishment of open calcareous sites with sand and gravel increased. Chenopodium botrys has only one of the typical characteristics of weed species—high seed production under favorable environmental conditions. What is more, for germination to occur, very specialized conditions involving the quality and intensity of light, photoperiod, and storage of seeds must be met.

In central European cities, Hordeum murinum is an indicator of dry and warm sites on permeable soils. According to Wittig (1991), it has been found in cities in the northern part of central Europe since Roman times. By mapping this species at Osnabrück, Germany, in 1978 and 1989–90, Hard and Kruckemeyer (1990) showed clear expansion of its range without corresponding climate changes. They suggested that this was due to the intensification of land use and a changing concept of what constitutes a clean and well-kept city rather than climate change.

Robinia pseudoacacia has been planted in Europe since 1623 and has spread spontaneously on the rubble of bombed cities, but only in areas with relatively continental climates with warm summers (Kohler & Sukopp, 1964). In central Europe the invasion of Robinia pseudoacacia (Figure 3) has been more successful in areas with a subcontinental or sub-Mediterranean climate than in areas under oceanic influence.

The same is true for Ailanthus altissima: In the Mediterranean or subcontinental regions, Ailanthus has spread abundantly through a broad range of sites. In central Europe, however, it is virtually confined to warmer regions or to urban-industrial sites with a more favorable microclimate. It is reasonable to assume that the spread of Robinia pseudoacacia has been promoted by the climate warming that began in the 19th century. The invasion was first observed in 1924, but only in the second part of the 19th century did this species become frequent. Similarly, the initial spread of Ailanthus was observed only at the beginning of the 20th century. Actually, in Germany it is more frequent in the warm zones of metropolitan Berlin (Figure 4, Table 3) than on the urban fringe, and in surrounding areas of Brandenburg it has been reported mainly in cities (Kowarik & Böcker, 1984; Kowarik, 1992b).

Prunus laurocerasus exemplifies how low winter temperatures may limit invasions (Adolphi, 1995). The species has been cultivated in Berlin since 1663, but the first seedlings were not observed until 1982. In regions with mild winter temperatures it obviously does better: It is common in London and in cities in the west of Germany (Table 2), and it has become a permanent member of natural forests in the sub-Mediterranean region of Italy (Gianoni et al., 1988). In Zurich, it has begun to invade forests only in recent years.

Buddleia has been invasive in Berlin since 1952, but it is actually less common there than in regions with mild winters.

Other species that are considered thermophilous, or heat-loving, with an indicator value for temperature > 7 (Ellenberg et al., 1991), include Laburnum anagyroides (with a time lag of 198 years between the plant's introduction and the onset of spreading; see also Table 3), Quercus cerris (161 years), and the sub-Mediterranean Colutea arborescens, which is native to the warmest sites in southwest Germany. In Brandenburg, 265 years elapsed before Colutea began to spread, in 1859. An even longer time lag is associated with Vitis vinifera and Juglans regia. Both have been cultivated in Brandenburg since 1200, but they were first reported as invading in 1860 and 1968, respectively. A warmer climate may also have encouraged the spread of the commonly occurring Prunus persica and of the rarer Prunus armeniaca, both of which spread 300 to 400 years after they were first cultivated (Kowarik, 1995).

An analysis of Syringa vulgaris indicates that the mode of spread also needs to be considered. This species was reported as being invasive early on, but it usually spreads by clonal growth and the enlargement of existing plantings. Even on rocky outcrops in the Rhine Valley with a favorable microclimate, fruits of Syringa do not ripen regularly (Lohmeyer & Sukopp, 1992). In Brandenburg, Syringa spreads mainly by root suckers, but recently some established shrubs were discovered fruiting along abandoned railway areas in Berlin. It is logical to assume that the fruit ripening on these sites has been promoted by the warmer urban climate. In other words, climate change has enabled the species to increase its repertoire of spreading strategies (Kowarik, 1995).

While many woody species are still in the process of establishment, one species has become a characteristic component of Robinia stands, Mahonia aquifolium. And not only does it thrive in older Robinia stands, it is also present in nearly every old Sambucus group. Ribes aureum may be another companion as well, although it cannot tolerate shade as well as Mahonia (Lohmeyer & Sukopp, 1992; Kowarik & Langer, 1994). During research in Germany's Leipzig-Bitterfeld region, Auge (1997) found several reasons why Mahonia aquifolium is such a successful invader: It can adapt easily to disturbed and even contaminated soils; it profits from clonal growth; and it is also quite fertile. See Figure 5, which shows the spontaneous distribution of Mahonia aquifolium in Brandenburg and Berlin (after Kowarik, 1992b).

Erkamo (1956) analyzed the capability of woody species to regenerate by seeds. He found that from the beginning to the middle of the 20th century, a number of species were extending their ranges, for example Quercus robur, which is native to the south of Finland, and nonnative species such as the North American Amelanchier spicata (Figure 6).

To estimate the effect of local or global warming, it is necessary to develop models that take into account the time lags between a plant's introduction and its spread. Davis (1986) found big differences in both the magnitude and the timing of species' responses to the same climatic trend. She referred mainly to changes in abundance, demography, and distribution of native species. Different response patterns to climate changes may also be a key factor in the variation in lag times preceding biological invasions.

The examples mentioned above show that many factors have influenced the distribution of spontaneously growing flora in cities: Land use, land management, and substrate have played an important role as well as the urban climate. The plant-distribution patterns mirror building patterns and the economic structure of the city (Sukopp, 1969; Kunick, 1982a) as well as its social structure (Hard & Otto, 1985). The meso- and macro-climate of the city overlies the distribution patterns of single biotopes.

Phenological Investigations in Cities

The various temperature zones in urban areas can be illustrated by systematic phenological investigations. It is possible to create maps showing when and where a species begins a particular phase of its life cycle: budding, leafing, flowering, fruiting. The different starting points of the various phases indicate different temperature regimes in the city. It is possible to map these heat islands and cooler areas with relatively little technical difficulty.

In many cases these phenological phases start several days earlier in the center of the city than at its edge or in large parks. An analysis of the flowering phase of Tilia euchlora in West Berlin is shown in Figure 7 (Zacharias, 1972). Tilia euchlora was chosen because of the genetic homogeneity of the cultivated plants, which are offsprings of one individual. In the inner city the first flowers are seen eight days earlier than at the edge of the city. The difference in temperature between the day of flowering and one day earlier is 1°C. This accords with the distribution of phenological phases in Europe in general. In cool valleys and bogs, flowering can start two days later than at the base station for macroclimate observation. The steepest gradient is found at the boundary between forests and built-up areas.

The relationship between mean air temperature and leafing of Aesculus hippocastanum in Geneva is shown in Figure 8 (Kuttler, 1987). The air temperature in Geneva has been regularly measured since 1808. From that year to the present, the date of emergence of young leaves has also been recorded (in days after the beginning of the year). Between 1808 and 1980, the date of leafing shifted from April 5 to March 5. Because this phenomenon depends on temperature, one would expect that during this time the air temperature was also changing. This proved to be the reality. After some fluctuation, the air temperature increased from 9.6°C and 9.3°C (years 1831 and 1860) to 10.4°C in 1964. Both curves show a high degree of correspondence. This example shows that plants can be indicators of climate changes in cities, provided that records have been kept long enough to make such comparisons.

Specificity of Urban Flora and Vegetation

In a study of the ruderal vegetation of Saxony, Gutte (1972) noted that urban areas are quite different biologically from surrounding areas. The urban regions of Leipzig, Chemnitz, and Dresden were differentiated on the basis of the occurrences of thermophilous plants. In his map showing the degree of occurrence of natural vegetation, Schlüter (1992) found that the flora of these big cities is unique too.

Urban flora is remarkably different from the flora of the rural hinterland. Yet a comparison of the flora of big urban agglomerations in central Europe shows little differentiation among them. The differences that do exist are caused solely by large-scale climate variations, and they increase with the distance between the urban areas. Still, the differences are astonishingly minor, even between cities as distant as Warsaw and Brussels (Kunick, 1982b).

The vegetation of disturbed places—rubble fields, railway and port areas, ruins, walls, and waste areas—is "urban" in a narrow sense. The occurrence of new nonnatives on sites under human influence (Thellung, 1915) inspired many early investigations of adventive flora. The newcomers were recorded and categorized according to the time of introduction, the way they were introduced, and their degree of naturalization. Figure 9 shows the close correlation between human population growth and the number of nonnative plants. Of particular interest are the studies of the rapid colonization of bombed-out areas of London and Stuttgart, and of the climate changes of the last decade (Lousley, 1944; Salisbury, 1943). Changes associated with the urbanization of flora and vegetation, measured by time and scale, are shown in Figure 10.

Conclusions

The warmer climate is not the only factor leading to changes in the flora and vegetation of urban areas. Other ecological and socioeconomic factors also affect the vegetation.

The introduction of nonnative species via transportation and trade or for horticulture is a prerequisite for the dispersal of thermophilous plants. In many cases, these plants have crossed formerly insurmountable barriers. In cities, native plants now grow alongside those that would never have reached the new area without human help. A high percentage of nonnative species is a characteristic feature of urban floras.

Erkamo (1956) demonstrated that the rise in temperature during the first half of the 20th century caused changes in the occurrence of single plant species as well as at the community level. Over the last decade it has become evident that ecological theories on changes at the population or community level are inadequate when the climate is considered to be constant. Climate changes over time, and such change may affect plant communities, even over periods as short as decades or a few centuries (Davis, 1986).

Urban areas of central Europe are experiencing a retreat of native species and archaeophytes; at the same time they are—and will continue to be—centers of introduction and abundance of newcomers. The origin of these new species is primarily warmer regions of Europe, Asia, and the Americas.

Many native plants are also capable of colonizing new urban sites. These are called apophytes (Rikli, 1903/04). Kowarik (1992a) found 32% of Berlin's native plants established on urban sites. J.B. Falinski (personal communication, June 19, 1994) even estimated that all native plants of the Bialowieza Forest in Poland could also live as apophytes.

Plant species found in urban environments disperse relatively slowly into surrounding areas. This process can take several decades to centuries (Davis, 1986, Kowarik, 1992b). The introduced plants have quite uneven chances for dispersal.

Ten percent of all introduced species in central Europe are able to spread; 2% become permanent members of the flora; and only 1% is able to survive in natural vegetation. Robinia pseudoacacia, Acer negundo, and Ailanthus altissima were introduced in the 18th and 19th centuries. It took 100 to 180 years for these adaptable and very fertile plants to spread, although suitable sites were available before the devastation of World War II (Figure 11).

In big cities, the effects of global climate warming since the 1850s have been exacerbated by the heat-island effect. Berlin grew from a city of about 170,000 inhabitants in 1800 to a metropolitan area with 3.7 million inhabitants in 1910. Calculations of the increased warming effect of the urban climate are 0.2°C for 1798–1804, 0.7°C for 1831 to 1837, and 1.4°C for 1886 to 1898 (annual mean temperatures). For the period 1961 to 1980, there was a difference in the annual mean air temperature of more than 2°C between the center of Berlin and the surrounding areas. This warming correlates with a significant reduction of frost days: < 64 days in the center of the city; > 102 days in the surrounding areas (Stülpnagel et al., 1990). Consequently, in Berlin, an accelerated invasion of nonnative species that tolerate higher temperatures could be expected. This hypothesis is supported by Figure 12, which shows an obvious increase in woody species that began to invade Berlin by the middle of the 19th century, coinciding with the changes in temperature: In the period 1756 to 1847, the winters were colder by -0.7°C than they were in 1848 to 1907, and before 1846, extremely cold winters were much more common.

Similar trends have been observed for annual and perennial herbs in Berlin and for all established nonnative plant species in Germany. At first these trends were explained only by the huge increase in introductions and subsequent dispersal, promoted both by new transportation systems and the increasing commercial exchange of goods, which coincided with the diversification of habitats in the urban environment. But many of the nonnative invaders are native to warmer areas, and they are believed to benefit from a more favorable local climate, even on the small spatial scale of cities (Kowarik, 1995).

Literature Cited

Adolphi, K. (1995). Neophytische Kultur- und Anbaupflanzen als Kulturflüchtlinge des Rheinlandes. Nardus 2. Wiehl: Martina Galunder.

Auge, H. (1997). Biologische Invasionen: Das Beispiel Mahonia aquifolium. In H. Feldmann, K. Henle, H. Auge, J. Flachowsky, S. Klotz & R. Krönert (Eds.), Regeneration und nachhaltige Nutzung. Konzepte für belastete Regionen (pp. 124-129). Springer: Berlin, Heidelberg, New York.

Brandes, D. (1997). Über die Flora der Stadt Braunschweig. Mitteilungen der Technische Universität Carolo-Wilhelmina, 12(1/2), 49-59.

Davis, M.B. (1986). Climatic instability, time lags, and community disequilibrium. In J. Diamond & T.J. Case (Eds.), Community Ecology (pp. 269-284). New York: Harper and Row.

Dettmar, J. & Sukopp, H. (1991). Vorkommen und Gesellschaftsanschluss von Chenopodium botrys L. und Inula graveolens (L.) DESF. im Ruhrgebiet (Westdeutschland) sowie im regionalen Vergleich. Tuexenia 11, 49-65.

Ellenberg. H. (1979). Zeigerwerte der Gefäβpflanzen Mitteleuropas (Scripta Geobotanica 9) (2nd ed.). Göttingen: Goltze.

Ellenberg, H., Weber, H.E., Düll, R., Wirth, V., Werner, W. & Pauliβen (1991). Zeigerwerte von Pflanzen in Mitteleuropa. Scripta Geobotanica, 18, 1-248.

Erkamo, V. (1956). Unterschungen über die pflanzenbiologischen and einige andere Folgeerscheinungen der neuzeitlichen Klimaschwankung in Finnland. Annales Botanici Societatis Zoologicæ Botanicæ Fennicæ 'Vanamo', 28(3), 1-290.

Frank, D. & Klotz, S. (Unter Mitarbeit von W. Westhus) (1990). Biologisch-ökologische Daten der Flora der DDR. (2nd ed.). Beiträge Martin-Luther-Universität Halle-Wittenberg, 32.

Gianoni, G., Carraro, G. & Klötzli, F. (1988). Thermophile, an laurophyllen Pflanzenarten reiche Waldgesellschaften im hyperinsubrischen Seenbereich des Tessins. Berichte des Geobotanischen Instituts der ETH Zürich, Stiftung Rübel, 54, 164-80.

Gutte, P. (1971). Zur Verbreitung einiger Neophyten in der Flora von Leipzig. Mitt. d. Sektion Spezielle Botanik, 2, 5-24.

Gutte, P. (1972). Ruderalpflanzengesellschaften West- und Mittelsachsens. Feddes Repertorium, 83, 11-122.

Haeupler, H., Schönfelder, P. (Eds.) (1989). Atlas der Farn- and Blütenpflanzen der Bundesrepublik Deutschland (2nd ed.). Stuttgart: Ulmer Verlag.

Hard, G. & Kruckemeyer, F. (1990). Die Mäusegerste und ihre Gesellschaft in Osnabrück 1978-1990. Über den Zusammenhang von Stadt- und Vegetationsentwicklung. Osnabrücker naturwissenschaftliche Mitteilungen, 16, 133-156.

Hard, G. & Otto, G. (1985). Die vegetationsgeographische Gliederung einer Stadt. Erdkunde, 39(4).

Hügin, G. (1992). Höhengrenzen von Ruderal- and Segetalpflanzen im Schwarzwald. Natur und Landschaft, 67/10, 465-472.

Hügin, G. (1995). Höhengrenzen von Ruderal- and Segetalpflanzen in den Alpen. Flora, 190(2), 169-188.

Jäger, E.J. (1968). Die pflanzengeographische Ozeanitätsgliederung der Holarktis and die Ozeanitätsbindung der Pflanzenareale. Feddes Repertorium, 79(3-5), 157-335.

Kohler, A. & Sukopp, H. (1964). Über die Gehölzentwicklung auf Berliner Trümmerstandorten. Zugleich ein Beitrag zum Studium neophytischer Holzarten. Berichte der Deutschen Botanischen Gesellschaft, 76(10), 389-407.

Kowarik, I. (1984). Platanus hybrida Brot. und andere adventive Gehölze auf städtischen Standorten in Berlin (West). Göttinger Floristische Rundbriefe, 18, 7-17.

Kowarik, I. (1992a). Das Besondere der städtischen Flora and Vegetation. Schriftenreihe des Deutschen Rates für Landespflege, 61, 33-47.

Kowarik, I. (1992b): Einführung und Ausbreitung nichteinheimischer Gehölzarten in Berlin und Brandenburg and ihre Folgen für Flora and Vegetation. Verhandlungen des Botanischen Vereins der Berlin Brandenburg, Beiheft 3.

Kowarik, I. (1995): Time lags in biological invasions with regard to the success and failure of alien species. In P. Pysek, K. Prach, M. Rejmànek & M. Wade (Eds.), Plant invasions: General aspects and special problems (pp. 15-38). Amsterdam: SPB Academic Publishing.

Kowarik, I. & Böcker, R. (1984). Zur Verbreitung, Vergesellschaftung und Einbürgerung des Götterbaums (Ailanthus altissima [Mill.] Swingle in Mitteleuropa). Tuexenia, 4, 9-29.

Kowarik, I. (1985). Die Zerreciche (Quercus cerris L. x und andere Wärmeliebende Gchölze auf Berliner Bahnanlageh. Berliner Naturschutz blätter 29(3), 71-75.

Kowarik, I. & Langer, A. (1994). Vegetation einer Berliner Eisenbahnfläche (Schöneberger Südgelände) im vierten Jahrzehnt der Sukzession. Verhandlungen des Botanischen Vereins der Berlin Brandenburg, 127, 5-43.

Kunick, W. (1982a). Zonierung des Stadtgebietes von Berlin West-Ergebnisse floristischer Untersuchungen. Landschaftsentwicklung und Umweltforschung, 14.

Kunick, W. (1982b). Comparison of the flora of some cities of the central European lowlands. In R. Bornkamm, J.A. Lee & M.R.D. Seaward (Eds.), Urban Ecology (pp. 13-22). Oxford: Blackwell Scientific.

Kuttler, W. (1987). Stadtklimatologie: Westfalen im Bild-eine Bildmediensammlung zur Westfälischen Landeskunde. Reihe Grundlagen und Probleme der Ökologie 4. Münster: Landesbildstelle, Landschaftsverband Westfalen-Lippe (W. Linke, ed.).

Kuttler, W. (1993). Stadtklima. In H. Sukopp & R. Wittig (Eds.), Stadtökologie (pp. 113-153). Stuttgart: Fischer Verlag.

Landolt, E. (2001). Flora der Stadt Zürich (1984-1998). Basil, Boston, Berlin: Birkäuser Verlag.

Landsberg, H. (1981). The urban climate (International Geophysics Series 28). New York: Academic Press.

Lohmeyer, W. & Sukopp, H. (1992). Agriophyten in der Vegetation Mitteleuropas. Schriftenreihe für Vegetationskunde, 25.

Lousley, J.E. (1944). The pioneer flora of bombed sites in central London. Report of the Botanical Society and Exchange Club of the British Isles 1941/42, 528-531.

Methodik der Biotopkartierung im besiedelten Bereich (Working Group Eds.: Schulte, W., Sukopp, H. & Werner, P.) (1993). Flächendeckende biotopkartierung im besiedelten bereich als grundlage einer am naturschutz orientierten planung. Natur und Landschaft, 68/10, 491-526.

Nowack, R. (1987a). Der Blauglockenbaum (Paulownia tomentosa) als verwilderndes Gehölz im Rhein-Neckargebiet. Tagungsbeiträge. Schriftenreihe Umweltamt der Stadt Darmstadt, Institut für Naturschutz, Band X1 (42), 29-30.

Nowack. R. (1987b). Verwilderungen des Blauglockenbaums (Paulownia tomentosa [Thunb.] Steud.) im Rhein-Neckar-Gebiet. Floristische Rundbriefe, 21(1), 23-32.

Rikli, M. (1903/1904). Die Anthropochoren und der Formenkreis des Nasturtium palustre DC. Berichte der Züricher Botanischen Gesellschaft, 8, 71-82 (Berichte der Schweizerischen Botanischen Gesellschaft, 13).

Salisbury, E. (1943). The flora of bombed areas. Nature 151, 462-466.

Salisbury, E. (1961). Weeds and aliens. London: Collins Publishing.

Scholz, H. (1960). Die Veränderungen in der Berliner Ruderalfor: Ein Beitrag zur jüngsten Florengueschichte. Willdenowia, 2(3), 379-397.

Schlüter, H. (1992): Vegetationskundliche Analyse der Flächenutzungsmosaike Nordostdeutschlands. Natürlichkeitsgrad der Vegetation in den neuen Bundesländern. Naturschutz und Landschaftsplanung, 24/5, 173-180.

Stülpnagel, A. von, Horbert, M. & Sukopp, H. (1990). The importance of vegetation for the urban climate. In H. Sukopp, S. Hejny & I. Kowarik, eds., Urban Ecology (pp. 175-193). The Hague: SPB Academic Publishing.

Sukopp, H. (1969). Der Einfluss des Menschen auf die Vegetation. Vegetatio,> 17,

Sukopp, H. (1971). Beiträge zur Ökologie von Chenopodium botrys L.I. Verbreitung und Geschichte. Verhandlungen des Botanischen Vereins der Provinz Brandenburg, 108, 3-25.

Sukopp, H. (1973). Die Groβstadt als Gegenstand ökologischer Forschung. Schriften des Vereins zur Verbreitung naturwissenschaftlicher Kenntnisse in Wien. Wien: Selbstverlag.

Sukopp, H. & Wittig, R. (Eds.) (1993). Stadtökologie. Jena: Fischer.

Sukopp, H. & Wurzel, A. (1995). Klima- und Florenveränderungen in Stadtgebieten. In Bundesamt für Naturschutz (Ed.), Reihe Angewandte Landschaftsökologie, 4, Bonn-Bad Godesberg, 103-130.

Thellung, A. (1915). Pflanzenwanderungen unter dem Einfluss des Menschen. Engler's Botanische Jahrbücher, 53(3/5), 37-66.

Wittig, R. (1991). Ökologie der Groβstadtflora: Flora and Vegetation der Städte des nordwestlichen Mitteleuropas. Stuttgart: G. Fischer.

Wittig, R., Diesing, D. & Gödde, M. (1985). Urbanophob-Urbanoneutral-Urbanophil. Das Verhalten der Arten gegenüber dem Lebensraum Stadt. Flora, 177, 265-282.

Zacharias, F. (1972). Blühphaseneintritt an Straβenbäumen (insbesondere Tilia x euchlora Koch) und Temperaturverteilung in Westberlin (doctoral dissertation). Berlin: Der Freie Universität Berlin.

Figure 1: Light, Temperature, and Moisture Requirements of Spontaneous Flora in Central European cities (Kunick, 1982b)

Figure 1

Geographical differences existing between the oceanic and the continental regions of central Europe are reflected in the composition of the urban flora. The graph demonstrates an increasing proportion of plants of moist and wet habitat toward the west and, in contrast, an increase of dry-grassland species toward the east. The transition area between both regions lies between the rivers Elbe and Oder.


Figure 2: Distribution of Chenopodium botrys L. in Berlin, 1947 to 1971

Figure 2

The area with the highest density is shaded (Sukopp, 1971.


Figure 3: Robinia pseudoacacia L. in Areas With Ruins or Rubble Fields

Figure 3

Robinia pseudoacacia L., native to North America, is one of the nonnative species that have become established in parts of middle and southern Europe (Kohler & Sukopp, 1964).


Figure 4: Distribution of Ailanthus altissima (Miller) Swingle in West Berlin

Figure 4

The map shows the location of trees (dots) and the different temperature zones of the area (shaded areas); the warmest zone is in darkest shade (Kowarik & Böcker, 1984).


Figure 5: Spontaneous Distribution of Mahonia aquifolium (Pursh.) Nutt. in Brandenburg and Berlin

Figure 5

The border of Berlin is outlined in bold (Kowarik, 1992b).

Figure 6: Changing Distribution of Quercus robur L. and Amelanchier spicata (Lamk.) C. Koch in Finland

Figure 6

Changing distribution of native and spontaneously growing shrubs (1900, 1925, and 1950) and observations (1946, 1947) of seedlings near the mother plants of Quercus robur L. and Amelanchier spicata (Lamk.) C. Koch in Finland (Erkamo, 1956).


Figure 7: Differences in the Flowering Phases of Tilia x euchlora at the Edge of West Berlin and at Stations Inside the City

Figure 7

K. Koch mapped the differences in the flowering phases of Tilia x euchlora during spring 1967. The numbers indicate days before (or after) flowering at the base station for macroclimate observation (Zacharias, 1972).


Figure 8: Relationship Between Mean Annual Air Temperature and Leafing of Aesculus hippocastanum L. in Geneva

Figure 8

From Kuttler, 1987; slide: Landesbildstelle Nordrhein-Westfalen.


Figure 9: Correspondence Between Human Population Growth and Number of Two Groups of Nonnative Plants

Figure 0

Naturalized neophytic ruderal plants excluding trees and chrubs according to Scholz (1960) and nonnative trees and shrubs according to Kowarik (1985).


Figure 10: Changes in Flora and Vegetation Due to Urbanization, Measured by Time and Scale

figure 10

Figure 11: Spontaneous Distribution of Ailanthus altissima (Miller) Swingle in Brandenburg and Berlin

Figure 11

The border of Berlin is outlined in bold (Kowarik, 1992b)


Figure 12: Introduction of Woody Species to Nemoral Europe During the Period Between 1500 and 1916

Figure 12

The species are grouped according to their origin from (a) other parts of Europe, including the Mediterranean (n=309); (b) North America (n=857); and (c) central and eastern Asia (n=1,351). These are cumulative curves; an additional 128 species introduced from western Asia and of cultural or unknown origin are not shown (Kowarik, 1995).


Table 1: Distribution of Some Nonnative Plant Species in Central Europe (From Sukopp & Wurzel, 1995)

  Temperature value
(Ellenberg 1991)1
Moisture value
(Ellenberg 1991)
Remarks
(Haeupler & Schönfelder 1989)2
Examples References
Ailanthus altissima (Miller) Swingle 8 5   Berlin
Münster, Essen, Düsseldorf
Kunick, 1982b Kowarik & Böcker, 1984
Wittig et al., 1985
Amaranthus retro-flexus L. 7 4 Neophyte, possibly of North American origin, cultivated since 1794 in Germany, mapped growing spontaneously in 1815. Today found fully integrated in many regions. Braunschweig Brandes, 1977
Artemisia absinthium L. 7 4   Braunschweig Brandes, 1977
Buddleia davidii L. 7 4   Berlin
Münster, Essen, Düsseldorf
Berlin
Halle, Leipzig
Ruhr area
Kunick, 1982
Wittig et al., 1985
Kunick, 1982
Frank & Klotz, 1990
Dettmar & Sukopp, 1991
Chenopodium botrys L. 7 4 In Berlin fully naturalized, building special communities; at other places inconstant. Mainly in cities, naturalized. Leipzig
Berlin
Halle, Leipzig
Gutte, 1971
Sukopp, 1971
Kunick, 1982b
Frank & Klotz, 1990
Colutea arborescens L. 8 3 Mainly along railway lines Berlin Kunick, 1982b
Corydalis lutea (L.) DC. 7 6 Since Middle Ages has fully naturalized at many places, especially on old walls. Halle, Leipzig Frank & Klotz, 1990
Cotoneaster Bullatus Bois and C. moupinensis Franch.     "Garden escapees" Rhinelands Adolphi in litt.
Cynodon dactylon (L.) Pers. 7 4   Leipzig Gutte, 1971
Eragrostis minor Host 7 3   Braunschweig
Leipzig
Halle, Leipzig
Münster, Essen, Düsseldorf
Brandes, 1977
Gutte, 1971
Frank & Klotz, 1990
Wittig et al., 1985
Ficus carica L.     Fig trees appear occasionally, especially in wine regions, where they were planted. They are inconstant and synanthropic. In some places, for example at the port of Neuss, they are able to fruit. Berlin Kunick, 1982
Hordeum murinum L. (Critesion Raf.) 7 4   Essen, Düsseldorf
Münster
Köln
Bremerhaven
Wittig et al., 1985
Wittig et. al., 1985
Kunick, 1984
Kunick, 1979
Lepidium latifolium L. 6 5   Leipzig
Poznan
Gutte, 1971 Zukowski, 1971
Paulownia tomentosa (Thunb.) Steud 8 5 Dispersed by wind along railway lines in the same way as Ailanthus altissima Rhein-Neckar-Area Nowack, 1987a, 1987b
Platanus x hispanica Miller ex Münchh     Along canals Berlin Kunick, 1982
Kowarik, 1984
Prunus persica (L.) Batsch     On waste heaps Berlin Kunick, 1982
Rhus typhina L.     This species is not completely mapped; it occurs partly in a spontaneous and partly in a naturalized manner. Halle, Leipzig
Rhinelands
Frank & Klotz, 1990
Adolphi, 1995


1 Temperature Values (on a scale from 1 to 9):
Altitude      Annual Mean Air Temperature
5 montane to level 6.0°C
6 submontane to level 7.5°C
7 hilly or level (warm lowlands) 9.0°C
8 extremely favored valleys in southwest 10.0°C
9 warmest places (mainly upper Rhine region) >10.5°C
x indifferent to elevation


2 Moisture Values (on a scale from 1 to 12):
2 intermediate between values 1 and 3 (between strong desiccation and desiccation)
3 indicator of desiccation, these plants more often found on dry soils than on moist soils
4 intermediate between values 3 and 5
5 between dry and humid, these plants mainly found on medium wet soils, absent on wet and on often dry soils
6 intermediate between values 5 and 7
7 indicator of moisture, these plants mainly found on moist but not wet soils
8 intermediate between values 7 and 9 (intermediate between moist and wet)
x indifferent to moisture
0

Table 2: Evergreen Broad-Leaved Plants Recently Often Spontaneously Appearing in the Rhinelands (Adolphi, 1995)

Name Origin
Berberis julianae L. Nemoral (broad-leaf deciduous) zone, humid mountain regions of west China with a monsoon climate; summer green deciduous forest
Cytisus multiflorus (L'Her. Ex Aiton) Sweet Meridional zone, winter-mild nemoral (broad-leaf deciduous) zone of semihumid regions; Mediterranean hardleaf (sclerophyllous) forest, dry with mild summers
Cytisus striatus (Hill) Rothm. Like C. multiflorus; introduced with seeds from Spain and Portugal used for planting along highways.
Lonicera nitida E. Humid, nemoral (broad-leaf decidous) mountain regions of the meridional zone, summer green deciduous forest; the southwest of China, laurophyllous forest
Lonicera pileata Oliver Nemoral zone of North America; summer green deciduous forest
Mahonia aquifolium (Pursh.) Nutt. Nemoral zone of North America; summer green deciduous forest
Prunus laurocerasus L. Nemoral zone, humid, mild winter regions from southeast Europe to the Caucasus; summer green deciduous forest

Glossary

Archaeophytes
Plants that immigrated before the end of the 15th century.
Biotope
A region uniform in environmental conditions and in its populations of animals and plants for which it is the habitat.
Ellenberg's Indicator Values
Scales that describe the relationship between the occurrence of plant species and various factors such as nitrogen, light, temperature, soil pH, and moisture. An Ellenberg nitrogen indicator value of 1 is associated with plants on extremely infertile sites, 9 with plants on very rich sites.
Neophytes
Plants that have immigrated since the 15th century.
Phenological
Related to the seasonal timing of events in the life cycle of plants.
Ruderal
Characteristic of lands that are highly disturbed but rich in water, nutrients, and other resources.